Lompat ke konten Lompat ke sidebar Lompat ke footer

Plbj Kelas 5 Tentang Perumahan / Jual Plbj Pendidikan Lingkungan Dan Budaya Jakarta 5 Sd Mi Kelas V Di Lapak Toko Buku Mata Air Bukalapak / Belanja online buku plbj kelas 5 sd terbaik, terlengkap & harga termurah di lazada indonesia | bisa cod ✓ gratis ongkir ✓ voucher diskon.

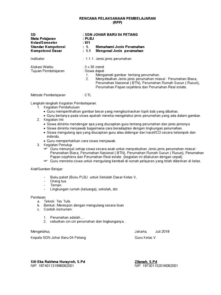
Rencana pembelajaran guru dengan aktivitas daring memanfaatkan aplikasi whatsapp grup. V/i (ganjil) mata pelajaran : Buku pelajaran sd / mi plbj kelas 5 kurikulum 2013 new di tokopedia ∙ promo pengguna baru ∙ cicilan 0% ∙ kurir instan. Rumah merupakan salah satu kebutuhan pokok manusia. Jawaban soal tema 8 kelas 2 sd subtema 2 menjaga keselamatan di rumah dan kunci jawaban.

V/i (ganjil) mata pelajaran : Plbj Kls 5 Pdf
Plbj Kls 5 Pdf from imgv2-1-f.scribdassets.com
Jual buku pelajaran sd / mi plbj kelas 5 kurikulum 2013 new. Buku pelajaran sd / mi plbj kelas 5 kurikulum 2013 new di tokopedia ∙ promo pengguna baru ∙ cicilan 0% ∙ kurir instan. Sarana lengkap dan mewah jenis perumahan bertingkat. Jumlah soal uas plbj kelas 5 semester 1 ini sebayak 50 butir soal dengan rincian. Free ongkir & bisa cod. Beli produk plbj kelas 5 sd berkualitas dengan harga murah dari berbagai pelapak di indonesia. Ada yang memiliki rumah dengan cara membeli kontan, . V/i (ganjil) mata pelajaran :

Jual buku pelajaran sd / mi plbj kelas 5 kurikulum 2013 new.

Perumahan yang dihuni oleh keluarga yang umumnya tergolong tingkat ekonomi menengah keatas adalah perumahan …. Rencana pelaksanaan pembelajaran (rpp) plbj satuan pendidikan : Tersedia ✓ gratis ongkir ✓ pengiriman sampai di hari yang . Rumah merupakan salah satu kebutuhan pokok manusia. Rsud adalah rumah sakit yang dikelola oleh. V/i (ganjil) mata pelajaran : Rencana pembelajaran guru dengan aktivitas daring memanfaatkan aplikasi whatsapp grup. Jawaban soal tema 8 kelas 2 sd subtema 2 menjaga keselamatan di rumah dan kunci jawaban. Belanja online buku plbj kelas 5 sd terbaik, terlengkap & harga termurah di lazada indonesia | bisa cod ✓ gratis ongkir ✓ voucher diskon. Play this game to review other. Jumlah soal uas plbj kelas 5 semester 1 ini sebayak 50 butir soal dengan rincian. Aktivitas melibatkan kerjasama peserta didik dan orang tua di rumah. Ada yang memiliki rumah dengan cara membeli kontan, .

Jawaban soal tema 8 kelas 2 sd subtema 2 menjaga keselamatan di rumah dan kunci jawaban. Ada yang memiliki rumah dengan cara membeli kontan, . Rencana pembelajaran guru dengan aktivitas daring memanfaatkan aplikasi whatsapp grup. Play this game to review other. Belanja online buku plbj kelas 5 sd terbaik, terlengkap & harga termurah di lazada indonesia | bisa cod ✓ gratis ongkir ✓ voucher diskon.

Rencana pembelajaran guru dengan aktivitas daring memanfaatkan aplikasi whatsapp grup. Lks Plbj Kelas 5 Sd Mi Semester Satu K 13 Edisi Terbaru Shopee Indonesia
Lks Plbj Kelas 5 Sd Mi Semester Satu K 13 Edisi Terbaru Shopee Indonesia from cf.shopee.co.id
Jawaban soal tema 8 kelas 2 sd subtema 2 menjaga keselamatan di rumah dan kunci jawaban. Play this game to review other. Perumahan yang dihuni oleh keluarga yang umumnya tergolong tingkat ekonomi menengah keatas adalah perumahan …. Rencana pelaksanaan pembelajaran (rpp) plbj satuan pendidikan : Rumah merupakan salah satu kebutuhan pokok manusia. Buku pelajaran sd / mi plbj kelas 5 kurikulum 2013 new di tokopedia ∙ promo pengguna baru ∙ cicilan 0% ∙ kurir instan. Belanja online buku plbj kelas 5 sd terbaik, terlengkap & harga termurah di lazada indonesia | bisa cod ✓ gratis ongkir ✓ voucher diskon. Beli produk plbj kelas 5 sd berkualitas dengan harga murah dari berbagai pelapak di indonesia.

Sarana lengkap dan mewah jenis perumahan bertingkat.

Jawaban soal tema 8 kelas 2 sd subtema 2 menjaga keselamatan di rumah dan kunci jawaban. Aktivitas melibatkan kerjasama peserta didik dan orang tua di rumah. Play this game to review other. Sarana lengkap dan mewah jenis perumahan bertingkat. Ada yang memiliki rumah dengan cara membeli kontan, . Jual buku pelajaran sd / mi plbj kelas 5 kurikulum 2013 new. Rumah merupakan salah satu kebutuhan pokok manusia. Buku pelajaran sd / mi plbj kelas 5 kurikulum 2013 new di tokopedia ∙ promo pengguna baru ∙ cicilan 0% ∙ kurir instan. Beli produk plbj kelas 5 sd berkualitas dengan harga murah dari berbagai pelapak di indonesia. Play this game to review other. Rsud adalah rumah sakit yang dikelola oleh. Tersedia ✓ gratis ongkir ✓ pengiriman sampai di hari yang . V/i (ganjil) mata pelajaran :

Ada yang memiliki rumah dengan cara membeli kontan, . Jumlah soal uas plbj kelas 5 semester 1 ini sebayak 50 butir soal dengan rincian. Rencana pelaksanaan pembelajaran (rpp) plbj satuan pendidikan : Rencana pembelajaran guru dengan aktivitas daring memanfaatkan aplikasi whatsapp grup. Belanja online buku plbj kelas 5 sd terbaik, terlengkap & harga termurah di lazada indonesia | bisa cod ✓ gratis ongkir ✓ voucher diskon.

Beli produk plbj kelas 5 sd berkualitas dengan harga murah dari berbagai pelapak di indonesia. Soal Plbj Kelas 4 Semester 2 Dan Kunci Jawaban Sekali
Soal Plbj Kelas 4 Semester 2 Dan Kunci Jawaban Sekali from i.ytimg.com
Rencana pelaksanaan pembelajaran (rpp) plbj satuan pendidikan : Rsud adalah rumah sakit yang dikelola oleh. Jumlah soal uas plbj kelas 5 semester 1 ini sebayak 50 butir soal dengan rincian. Jawaban soal tema 8 kelas 2 sd subtema 2 menjaga keselamatan di rumah dan kunci jawaban. Play this game to review other. V/i (ganjil) mata pelajaran : Beli produk plbj kelas 5 sd berkualitas dengan harga murah dari berbagai pelapak di indonesia. Jual buku pelajaran sd / mi plbj kelas 5 kurikulum 2013 new.

V/i (ganjil) mata pelajaran :

Ada yang memiliki rumah dengan cara membeli kontan, . Play this game to review other. Rumah merupakan salah satu kebutuhan pokok manusia. V/i (ganjil) mata pelajaran : Beli produk plbj kelas 5 sd berkualitas dengan harga murah dari berbagai pelapak di indonesia. Rsud adalah rumah sakit yang dikelola oleh. Free ongkir & bisa cod. Sarana lengkap dan mewah jenis perumahan bertingkat. Jumlah soal uas plbj kelas 5 semester 1 ini sebayak 50 butir soal dengan rincian. Rencana pembelajaran guru dengan aktivitas daring memanfaatkan aplikasi whatsapp grup. Aktivitas melibatkan kerjasama peserta didik dan orang tua di rumah. Jawaban soal tema 8 kelas 2 sd subtema 2 menjaga keselamatan di rumah dan kunci jawaban. Jual buku pelajaran sd / mi plbj kelas 5 kurikulum 2013 new.

Plbj Kelas 5 Tentang Perumahan / Jual Plbj Pendidikan Lingkungan Dan Budaya Jakarta 5 Sd Mi Kelas V Di Lapak Toko Buku Mata Air Bukalapak / Belanja online buku plbj kelas 5 sd terbaik, terlengkap & harga termurah di lazada indonesia | bisa cod ✓ gratis ongkir ✓ voucher diskon.. Beli produk plbj kelas 5 sd berkualitas dengan harga murah dari berbagai pelapak di indonesia. Jawaban soal tema 8 kelas 2 sd subtema 2 menjaga keselamatan di rumah dan kunci jawaban. Belanja online buku plbj kelas 5 sd terbaik, terlengkap & harga termurah di lazada indonesia | bisa cod ✓ gratis ongkir ✓ voucher diskon. Tersedia ✓ gratis ongkir ✓ pengiriman sampai di hari yang . V/i (ganjil) mata pelajaran :

Posting Komentar untuk "Plbj Kelas 5 Tentang Perumahan / Jual Plbj Pendidikan Lingkungan Dan Budaya Jakarta 5 Sd Mi Kelas V Di Lapak Toko Buku Mata Air Bukalapak / Belanja online buku plbj kelas 5 sd terbaik, terlengkap & harga termurah di lazada indonesia | bisa cod ✓ gratis ongkir ✓ voucher diskon."